Three men by the name of Ananias appear in the Bible, and each plays a role in the New Testament book of Acts. A common name among Jews, Ananias is the Greek
Netflix’s ‘Pact of Silence’ stars Camila Valero as a young yet big-time social media influencer who makes her way into the lives of four women. Fueled by the
Homemade Edible Finger Paint is perfect for babies aged 6-18 months , toddlers and children who are more likely to place paint covered fingers into their
Insomnia Cookies are available when you need them most with most of our locations delivering from 10am-3am, daily.Click to see full answer. Then, can you ...
Yassine Bounou Wife Who is Yassine Bounou Wife is been the quest through Yassine Bounou fanatics. Here in this text, you can take a look at Yassine Bounou
Neal Fit, an entertainer who looks perfect for his age, stars in The Delinquent on USA Organization. Yet, his in-your-face fans known for his time at Horse
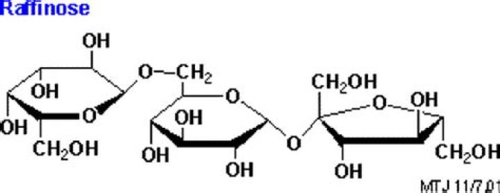
Raffinose is a trisaccharide and a minor constituent in sugar beets. (a) Not a reducing sugar. No open-chain forms are possible. (b) d-Galactose, d-glucose,
Andrew Tate has been the subject of broad discussion and conversation since his brilliant ascent to notoriety, with Joe Rogan being the most recent to join a
Boston Celtics point monitor Marcus Brilliant shared his mistake that Boston’s suspended previous mentor Ime Udoka will probably acknowledge a head training